ID 399

Statistics, Data Analysis and Probability K616 is 40% of what number?



ID 400

Statistics, Data Analysis and Probability K6Find the mean for the following data set

70 88 97 99 100 101 103 110 112 130.



ID 401

Statistics, Data Analysis and Probability K6Which gives the largest answer?



ID 426

Statistics, Data Analysis and Probability K6123 is what percent of 12345?



ID 431

Statistics, Data Analysis and Probability K6Find the best approximation for:

717 x 114



ID 449

Statistics, Data Analysis and Probability K6Find the best approximation



ID 452

Statistics, Data Analysis and Probability K6Evaluate



ID 459

Statistics, Data Analysis and Probability K6There are 24 pieces of candy in the jar.

Estimate how much candy will be in the jar when it is half full.



ID 464

Statistics, Data Analysis and Probability K6How much of the square is shaded?



ID 465

Statistics, Data Analysis and Probability K6Alex will flip a dime 33 times.

How many times should Alex expect to get tails when he flips the coin?



ID 470

Statistics, Data Analysis and Probability K6At a local school, students sold post cards for a fundraiser.
The bar graph shows how many cards were sold by each student.

Who sold the most cards?



ID 485

Statistics, Data Analysis and Probability K6 In order to earn an A, students need to score at least 90% on the final test.

Who got an A in the class?



ID 1199

Statistics, Data Analysis and Probability K6Into which set should 144 be placed?



ID 1263

Statistics, Data Analysis and Probability K6This Venn diagram contains two equal circles. They intersect forming 3 parts. The area of intersection depends on distance x.

When is area A greater than area C?



ID 1347

Statistics, Data Analysis and Probability K6Which percentage below shows the most likely percentage of tails coming up in 250 tosses?



ID 1665

Statistics, Data Analysis and Probability K6Sasha picks two balls from a box without looking.

From which box is there the greatest probability of picking two blue balls?



ID 1774

Statistics, Data Analysis and Probability K6What is the difference between the sums of numbers in the sixth and third rows?



ID 1800

Statistics, Data Analysis and Probability K6How many bricks are there in these walls?



ID 1925

Statistics, Data Analysis and Probability K6Alex starts with number 99 and counts by 66.

This results in the sequence 99, 165, 231, and so on.

What is the 100th number in the sequence?



ID 1981

Statistics, Data Analysis and Probability K6What is the largest Swiss postage that cannot be paid exactly with any number of 100-centime and 130-centime stamps?



ID 2793

Statistics, Data Analysis and Probability K6The graph shows the total amount of money John has saved over five weeks.

Estimate his monthly saving?



ID 2830

Statistics, Data Analysis and Probability K6We cut a 2000 gram stick of butter in half.
We then cut one of the halves into 4 equal slices.

Find the weight of one slice.



ID 2860

Statistics, Data Analysis and Probability K6400 is 40% of what number?



ID 2862

Statistics, Data Analysis and Probability K6Which gives the smallest answer?



ID 2931

Statistics, Data Analysis and Probability K6There are 48 students in the seventh grade.
There are seven boys for every five girls in the seventh grade.

How many boys are in the seventh grade?



ID 2937

Statistics, Data Analysis and Probability K6Which of these gives the largest answer?



ID 3395

Statistics, Data Analysis and Probability K6How much faster does the seconds hand move compared with the hour hand?



ID 3501

Statistics, Data Analysis and Probability K6What do you get when you add 4 to 44 four times?



ID 3521

Statistics, Data Analysis and Probability K6Order the shapes by weight from lightest to heaviest.



ID 3876

Statistics, Data Analysis and Probability K6How many pills do I need if my doctor told me to take one every half hour from 11:00 a.m. to 2:00 p.m.?



ID 3877

Statistics, Data Analysis and Probability K6How many pills do I need if my doctor told me to take one every 9 minutes from 11:00 a.m. to 2:00 p.m.?



ID 3887

Statistics, Data Analysis and Probability K6The map shows a toll road network with the prices for each part of the road.

What is the least expensive route?



ID 4281

Statistics, Data Analysis and Probability K6Mrs. Smith's class counted by 6.
Each student said one number. How many students counted if the last number was 138?



ID 4455

Statistics, Data Analysis and Probability K6If Anna continues stringing the beads in the same manner as it is shown on the picture and there are 77 beads, what is the type of the last bead on the string?



ID 4754

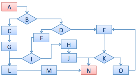
Statistics, Data Analysis and Probability K6How many steps are there in the shortest path from A to N?



ID 4853

Statistics, Data Analysis and Probability K6If the diameter of a pen is 8 mm estimate the height of the tower.



ID 5130

Statistics, Data Analysis and Probability K6Out of 150 students, 87 are girls.

What fraction of the students are boys?



ID 5195

Statistics, Data Analysis and Probability K6The pie chart shows the number of men, women and kids in a county.

What part of the population is the largest?



ID 5201

Statistics, Data Analysis and Probability K6Find the sum of the numbers.



ID 5220

Statistics, Data Analysis and Probability K6What is the next row in this pattern?

This is Pascal’s Triangle.



ID 5230

Statistics, Data Analysis and Probability K6Leslie Green asks:

"Henrietta is threading the last bead onto a necklace when Tabby the cat brushes past the bowls of undrilled beads, knocking them over.

500 rondelle beads, 400 square rondelle beads, and the teardrop beads all end up on the work bench. Being startled by the falling beads, she drops the last bead onto the bench. There are now 1000 beads all mixed up on the bench and Henrietta need to find the one drilled bead she just dropped amongst all the undrilled beads.

Henrietta can't see the drilled hole without using the magnifier - which is on another bench. The drilled bead is neither a rondelle nor a square rondelle.

What is the chance she will pick the drilled bead on the first attempt?"



ID 5327

Statistics, Data Analysis and Probability K6How many scheduled departures are on time between 10:00 and 10:30 (inclusive)?



ID 5495

Statistics, Data Analysis and Probability K6John is driving a bus with 64 passengers. At each stop, half of the passengers get off.

How many stops does he make until only 1 passenger stays in the bus?



ID 5518

Statistics, Data Analysis and Probability K6How many dots are there on three standard cubical dice?



ID 5531

Statistics, Data Analysis and Probability K6Which letter is a part of another one?



ID 5544

Statistics, Data Analysis and Probability K6Jane is counting aloud backwards from 99 by sixes, saying 99, 93, … and so on.

What is the last positive number she says?



ID 5558

Statistics, Data Analysis and Probability K6Gerry scored 20 points during a basketball game.

What is the smallest number of throws he might have made?

Points in basketball can be accumulated by making field goals (two or three points) or free throws (one point). If a player makes a field goal from within the three-point line, the player scores two points.



ID 5647

Statistics, Data Analysis and Probability K6It might not seem like it, but air has weight.
A cubic meter of air weighs 1.25kg at a temperature of 10°C and at sea level.
A cubic meter of water weighs 1000kg.

How many times heavier than the air is the water?



ID 5818

Statistics, Data Analysis and Probability K6Find the average of the digits.

Average is a calculated central value of a set of numbers (digits in this case).



ID 5823

Statistics, Data Analysis and Probability K6How many small circles don't belong to all three squares?



ID 5825

Statistics, Data Analysis and Probability K6Find the average of the numbers.

Average is a calculated central value of a set of numbers.



ID 5926

Statistics, Data Analysis and Probability K6When we flip 1 coin, there are 2 possible outcomes.
When we flip 2 coins, there are 4 possible outcomes.

When we flip 3 coins, how many possible outcomes are there?



ID 6094

Statistics, Data Analysis and Probability K6Three of the numbers 2, 4, 16, 25, 50, 125, and 250 have a product of 1000.

What is the sum of those three numbers?



ID 6124

Statistics, Data Analysis and Probability K6Convert 100,000 minutes to the number of days.



ID 6187

Statistics, Data Analysis and Probability K6The Guinness World Records registered the highest score in an international ice hockey match. It was when Slovakia beat Bulgaria 82-0 in a Pre-Olympic women's qualification in 2008. The score for each third was 31-0, 24-0 and 27-0.

On average, how often did the Slovak team score in the first period, which lasted 20 minutes?



ID 6252

Statistics, Data Analysis and Probability K6Jane put out 55 carrots for Benny Bunny on Monday morning. The intelligent rabbit was on a diet.

Benny ate 15 carrots on Monday, 13 on Tuesday, and so on, eating two fewer carrots each day until they were all gone.

When did Benny eat the last carrot?



ID 6326

Statistics, Data Analysis and Probability K6What is the sum of the numbers on the clock face?



ID 6416

Statistics, Data Analysis and Probability K6Gerry’s secret passcode is a seven-digit number that begins and ends with 1. The sum of every three consecutive digits in the number is 10.

What is the fourth digit of the passcode?



ID 6703

Statistics, Data Analysis and Probability K6Gerry aims at the center (centre) of the large target. He always manages to hit the target.

What is his chance to score 2?



ID 6711

Statistics, Data Analysis and Probability K6Gerry and his brother shoveled the pathway to a cottage. It took the two of them an hour to complete the job together.
However, because Gerry is stronger, he shoveled twice as much of the driveway as his brother.

If his brother had worked alone and maintained his same pace, how much time would it have taken him to do the entire job by himself?



ID 7117

Statistics, Data Analysis and Probability K6If you start at the red arrow and jump to the next arrow 100 times, where do you stop?



ID 7207

Statistics, Data Analysis and Probability K6Which gives the largest result?