ID 926

Statistics, Data Analysis and Probability K12 There are 2 different data sets.
Set 1:   1, 3, 7, 9, 13, 15
Set 2:   1, 2, 7, 15, 15
Which is correct?



ID 943

Statistics, Data Analysis and Probability K12Anna has 3 bags of marbles.

The first contains 5 white marbles and 5 green marbles.
The second contains 2 white marbles and 8 blue marbles.
The third contains 16 white marbles and 4 green marbles.

If she randomly selects a single marble from each bag, what is the probability that all three marbles will be green?



ID 944

Statistics, Data Analysis and Probability K12Tom has 3 bags of marbles.

The first contains 4 white marbles and 6 green marbles.
The second contains 2 white marbles and 8 blue marbles.
The third contains 12 white marbles and 8 green marbles.

If he randomly selects a single marble from each bag, what is the probability that all three marbles will be white?



ID 959

Statistics, Data Analysis and Probability K12If the area of the left triangle is 100%, what is the area of the second triangle?



ID 962

Statistics, Data Analysis and Probability K12John has an average of 89 on his three math exams.
To earn an A, he must have a 90 average.

What is the lowest grade he must earn on the next exam to raise his average to 90?



ID 972

Statistics, Data Analysis and Probability K12I roll two dice.

What is the probability that the second number is greater than the first?



ID 977

Statistics, Data Analysis and Probability K12How many different 7-digit phone numbers can be used by a phone company?

The phone numbers cannot start with a zero.



ID 982

Statistics, Data Analysis and Probability K12The table shows the results of a competition among 5 teams.
Each team plays two matches against each of the other teams, with three points for a win, one point for a draw and none for a defeat.

How many draws were there?



ID 1044

Statistics, Data Analysis and Probability K12As each of five eggs is weighed, the average weight increases by one gram each time.

If the first egg weighs 50 grams, what is the weight of the last egg?



ID 1095

Statistics, Data Analysis and Probability K12The probability that two randomly chosen people in a big city are younger than 25 is 25%.

What is the probability that 3 randomly chosen people from the city are younger than 25?



ID 1116

Statistics, Data Analysis and Probability K12In a game, you have a 1/5 probability of winning $100 and 4/5 probability of losing $26.

What is the most likely amount of money you will win (or lose) at the end of 1000 games?



ID 1174

Statistics, Data Analysis and Probability K12What is the average of these numbers?



ID 1281

Statistics, Data Analysis and Probability K12John is sick 6 days per year.
The probability of being sick on a Saturday or a Sunday is two times less than on any other day.

What is the probability that John will be sick on a Monday?



ID 1312

Statistics, Data Analysis and Probability K12This formula, developed by Austrian mathematician Richard Von Mises, shows the probability of at least 2 people from n having their birthdays on the same day of the week.

What is the probability that 2 people have their birthdays on the same day of the week?



ID 1314

Statistics, Data Analysis and Probability K12Five people sit at a round table.

What is the probability that they sit in age order?

The order can be ascending or descending, clockwise or counterclockwise.



ID 1324

Statistics, Data Analysis and Probability K12This formula, developed by Austrian mathematician Richard Von Mises, shows the probability that at least 2 people from n have their birthdays on the same day of the week.

What is the probability that at least 2 people from 7 people have their birthdays on the same day of the week?



ID 1342

Statistics, Data Analysis and Probability K12A boy begins walking from his starting point. Each hour, he either walks one kilometer to the east or one kilometer to the north, but he never walks in the same direction as he did in the previous hour.

In how many different ways can he get to a point that is 8 kilometers to the north and 8 kilometers to the east of his starting point?



ID 1350

Statistics, Data Analysis and Probability K12What is the units digit of 1! + 2! + 3! + ... + 2011!?

4! means 1 x 2 x 3 x 4



ID 1369

Statistics, Data Analysis and Probability K12Abbey has a dog Abby.

She places 5 tiles with the letters of her surname into a bag.
She picks up one tile after other without looking.

What word has the greatest probability of appearing in the correct order from the beginning?



ID 1395

Statistics, Data Analysis and Probability K12Two princes and two princesses are ready to marry.
Everybody independently chooses a partner without telling anyone.

What is the probability that everybody chooses a person who chooses her/him?

Assuming that boys choose girls and girls choose boys.



ID 1410

Statistics, Data Analysis and Probability K12I randomly place three crosses into different cells of the grid.

What is the probability that the crosses lie on the same straight line?



ID 1449

Statistics, Data Analysis and Probability K12A 4-character password uses exactly two different digits.
Each digit can be 0, 1, 2, 3, 4, 5, 6, 7, 8, or 9.

How many such passwords are possible?



ID 1543

Statistics, Data Analysis and Probability K12After a rodeo, four cowboys have a meeting in a saloon.
Each cowboy has only one bullet.
Each cowboy randomly chooses one of the other three cowboys and successfully shoots him.

What is the probability that all of them are shot?

The photograph courtesy of Roland Sauter



ID 1826

Statistics, Data Analysis and Probability K12Two dice are thrown.
Two numbers are multiplied.

What product of numbers is most likely to occur?



ID 1830

Statistics, Data Analysis and Probability K12What is the average of the smaller of three random numbers from 0 to 1?



ID 1832

Statistics, Data Analysis and Probability K12How many seconds were in 2012?



ID 1975

Statistics, Data Analysis and Probability K12What is the sum of all 5-digit integers which each use all of the five digits 1, 2, 3, 4, and 5?



ID 2150

Statistics, Data Analysis and Probability K12Make 727 by using three 7s.
You can use any math operator that you would like.

How many times do you use the plus sign (+) in the expression?



ID 2156

Statistics, Data Analysis and Probability K12Anna (A), Bill (B), Cindy (C), and Daniel (D) work on a project.

(1) Together, A, B, and C can complete it in 10 days.
(2) Together, B, C, and D can complete it in 11 days.
(3) Together, C, D, and A can complete it in 12 days.
(4) Together, D, A, and B can complete it in 13 days.

Who is the best performer?



ID 2180

Statistics, Data Analysis and Probability K12A venture capitalist has choosen to invest in only one of three start-up companies: A, B, or C.
I will make a lot of money if I invest in the same company, and will lose all of my money if I choose another company.
I decide to invest in company A and I inform the venture capitalist.
He assures me that he has not invested in company C.

What company do you recommend for me to make the investment?



ID 2190

Statistics, Data Analysis and Probability K12How many different cubes can I make by using six different colors such that each face has a different color?

I can rotate the cubes.



ID 2196

Statistics, Data Analysis and Probability K12In a venture investment fund, all investors continue to invest into a new start-up company until the company becomes a great success.
If the company fails, then the investor tries to invest into another company.
An investor stops investing if the last investment is successful.
The probability of success is 10%.

What is the total proportion of successful to failed start-up companies in the investment fund?



ID 2253

Statistics, Data Analysis and Probability K12Logic puzzle:

Counting down from 100 by one, which number comes next?



ID 2258

Statistics, Data Analysis and Probability K12What is the probability that two dominoes drawn randomly from a standard set will match (will allow concatenation)?



ID 3165

Statistics, Data Analysis and Probability K12Tom has 3 bags of marbles.

The first contains 4 white marbles and 6 green marbles.
The second contains 5 white marbles and 15 blue marbles.
The third contains 12 white marbles and 8 green marbles.

If he randomly selects a single marble from each bag, what is the probability that all three marbles will be white?



ID 3198

Statistics, Data Analysis and Probability K12Alex received a 90 on his essay and an 80 on his final.
He got a 90 on class participation.
The essay counts as 30% of his grade.
Class participation counts as 20% of his grade.

What is his grade?



ID 3466

Statistics, Data Analysis and Probability K12This picture shows the first five rows of Pascal's triangle.
What is the sum of the numbers in the eleventh row of the triangle?



ID 3511

Statistics, Data Analysis and Probability K12What is heavier than a cumulus cloud, which is about 1 cubic kilometer in volume?

Water is 1000 times heavier than the same volume of cloud.



ID 3513

Statistics, Data Analysis and Probability K12Eight bugs are at the eight corners of an equilateral cube.
Each bug randomly picks a direction and moves along the edge of the cube until the next corner.

What is the probability that none of the bugs will meet another?



ID 3514

Statistics, Data Analysis and Probability K12Logic question.

What is the easiest way to make the following equation correct?



ID 3524

Statistics, Data Analysis and Probability K12A chess queen attacks all squares along its path horizontally, vertically and diagonally.

I would like to place at least 2 white queens and at least 2 black queens on a 5x5 chessboard, such that the queens on either side cannot attack any opposing queens.

What is the maximum number of queens I can place on the board?



ID 3542

Statistics, Data Analysis and Probability K12We want to merge 4 companies into one large company.

How many ways are there to merge them?

PS: you can merge only 2 companies at once.



ID 3566

Statistics, Data Analysis and Probability K12Find the sum of the series:

1/3 + 1/9 + 1/27 + 1/81 + . . .



ID 3584

Statistics, Data Analysis and Probability K12What is the average of the largest of N random numbers from 0 to 1?



ID 3586

Statistics, Data Analysis and Probability K12I want to find the smallest number divisible by 225 that consists of ones and zeros.

How many 1's are there in the number?



ID 3621

Statistics, Data Analysis and Probability K12Place the cards into two boxes so that the probability of randomly drawing a card with the letter B is at its maximum.
I draw a card from a box.

What is the probability?



ID 3646

Statistics, Data Analysis and Probability K12Alex possesses 52% of a business and the rest belongs to Bill.
They take Craig into partnership so that the three partners have an equal interest in the business.
Craig pays $100,000,000.

How do Alex and Bill split the money?



ID 3681

Statistics, Data Analysis and Probability K12Find the infinite sum:

1 - 1 + 1 - 1 + 1 - 1 + 1 - 1 + 1 - 1 + . . .



ID 3781

Statistics, Data Analysis and Probability K12A player must match three different numbers chosen from the integers 1 to 30 in any order to win a lottery.

If a ticket costs $1, what is the largest possible prize so that the organizers make a profit (on average)?



ID 3801

Statistics, Data Analysis and Probability K12The picture shows a subway map.

If it takes 3 minutes to go from one station to the next one and 3 minutes to change lines, what is minimum time required to go from A to B?



ID 3828

Statistics, Data Analysis and Probability K12In a country, a baby is born every 5 seconds, a person dies every 45 seconds, and a new immigrant comes to the country every 20 seconds.

What is the rate of growth in the country?



ID 3845

Statistics, Data Analysis and Probability K12This is a standard set of dominoes.
Choose 2 dominoes at random.

What is the probability that these two dominoes match: an end of one matches at least one of the ends of the other?



ID 3869

Statistics, Data Analysis and Probability K12A concert includes 3 cello pieces and 3 piano pieces.

In how many ways can the program be arranged if a piano piece must come last?



ID 3914

Statistics, Data Analysis and Probability K12Anna and Bill roll a six-sided die.
The first person to roll a six wins.
Anna rolls first, then Bill rolls the die.
If nobody wins, they change the order: Bill starts first and so on.

What is the ratio of Anna's and Bill chances?



ID 3949

Statistics, Data Analysis and Probability K12You can throw as many darts as necessary at the board shown in the picture.
Some total scores are impossible to obtain, such as all the numbers less than 9 as well as 10, 12, etc.

What is the highest whole number score that is impossible to obtain?

Inspired by David Pleacher



ID 4030

Statistics, Data Analysis and Probability K12You roll two dice.

Estimate the expected value on the highest valued die?



ID 4058

Statistics, Data Analysis and Probability K12John threw 8 fair dimes and Mary 9 dimes.

What is the probability that Mary has more heads than John?



ID 4090

Statistics, Data Analysis and Probability K12Estimate the total you pay if the meal costs $29, the tax is 5%, and the tip is at least 15%.

Round up the total.



ID 4121

Statistics, Data Analysis and Probability K12John and I have a glass of milk.
He drinks half of it and then I drink half of what is left.
He drinks half of what is left and I do the same.
We continue until nothing is left.

What proportion of the initial amount of the milk did I drink in total?



ID 4165

Statistics, Data Analysis and Probability K12Five students Anna, Bill, Craig, Daniel, and Eugene commute by bus. Every morning each student independently and randomly selects to board one of the 4 buses.
What is the average number of students in the bus that Anna chooses?



ID 4306

Statistics, Data Analysis and Probability K12Find the product of

111,111,111 x 111,111,111



ID 4323

Statistics, Data Analysis and Probability K12If the probability of observing a white car in 10 minutes on a motorway is 0.99999, what is the probability of observing a white car in 2 minutes?



ID 4341

Statistics, Data Analysis and Probability K12Estimate the probability that no two of four sisters were born in the same day of the week?



ID 4371

Statistics, Data Analysis and Probability K12How many squares are there on a chess board?



ID 4416

Statistics, Data Analysis and Probability K12The sum of the integers from 1 to 2,000 inclusive is 2,001,000.

What is the sum of the odd integers in the range?

This is a typical SAT question.



ID 4445

Statistics, Data Analysis and Probability K12My car can travel 20 km on one liter of gas on the motorway and 12 km on one liter of gas in the city.

If 60% of my travels are on the motorway, the odometer shows 15,000 km this year, and the average price is $2 per liter how much do I pay for the gas this year?



ID 4509

Statistics, Data Analysis and Probability K12A 512-page book weighs 800g to the nearest 10g.

What is the weight of 200 pages if the cover represents 20% of the book's weight?



ID 4544

Statistics, Data Analysis and Probability K12When 4 coins are tossed, what is the probability that exactly 2 are heads?



ID 4563

Statistics, Data Analysis and Probability K12The sum of N consecutive integers is S.
Which of the following equations gives the value of the first integer of the sequence?



ID 4573

Statistics, Data Analysis and Probability K12Veryfast Airlines loses 20% of the luggage.
Gerry puts his three favorite toys in three different bags.

What is the probability that he no longer has any toys after flying with Veryfast Airlines?



ID 4596

Statistics, Data Analysis and Probability K12How many 3x3 squares are there on a chessboard?



ID 4659

Statistics, Data Analysis and Probability K1295.8% of James' classmates have different numbers of hairs than he has.

How many students are there in his class?



ID 4683

Statistics, Data Analysis and Probability K12A ball rebounds half of the height from which it is dropped in a sport hall.
It stops rebounding when the height is smaller than 2 mm (0.002 meter).

How many times does the ball rebound if it drops from your head?



ID 4796

Statistics, Data Analysis and Probability K12When Jane plays against Gerry in her favorite game, the odds are 5 to 3 that she will win.

What is probability that she wins three games in a row?



ID 4800

Statistics, Data Analysis and Probability K12Six dice are thrown.

What is the probability that at least three of them have the same number?



ID 4815

Statistics, Data Analysis and Probability K12James the Mathematician wants to find a partner for a serious relationship. He has his own scoring system. He talks with N out of 100 girls, rejects them and records the best score S. He decides to talk to all 100 girls, making a decision about each one immediately. Once rejected, a girl cannot be recalled. After that, he continues to talk to others and stops when the girl has a score better than S.

What number N do you recommend to the boy?



ID 4816

Statistics, Data Analysis and Probability K12Steve wonders "Why don’t I have a girlfriend?" He uses the following information. There are 10,000 girls and women who live in his city, but only 5% of them are age-appropriate for him. A total of 50% have the required level of education, and he expects that 50% of the women in the selected group are attractive to him and he hopes that at least 20% will find him attractive too.

How many girls in his city are potential girlfriends?

Inspired by a scientific article by Peter Backus.



ID 4817

Statistics, Data Analysis and Probability K12Gerry's income is seven-eighths that of Jane.
Gerry's expenses are seven-eighths those of Jane.
They spend less than they earn.

Jane promised to marry Gerry if he saves more than she does.

Who saves more money?



ID 4969

Statistics, Data Analysis and Probability K12Which number goes next?

1 1 2 3 5



ID 5025

Statistics, Data Analysis and Probability K12The cost of living increased in the first year and it decreased in the second year by the same value.

What was the annual percent change if the total two-year change was minus one percent?



ID 5073

Statistics, Data Analysis and Probability K12I got a total of 120 by using five zeros and any mathematical operators.

How many plus signs "+" did I use?



ID 5078

Statistics, Data Analysis and Probability K12If you choose an answer to this question at random, what is the probability that you will be correct?



ID 5085

Statistics, Data Analysis and Probability K12How many ways can five runners take first, second, and third place in a competition?



ID 5095

Statistics, Data Analysis and Probability K12I bought a 20'' (the diagonal size) laptop with the ratio of the screen width to the height 4 : 3.

How many pixels does it have if the specification declares that PPI (pixel per inch) is 200?



ID 5111

Statistics, Data Analysis and Probability K12I throw a coin on a chessboard.
The diameter of the coin is a half of the side length of a small square of the chessboard.

What is the probability that the coin touches both light and dark colors?

I don't take into account the cases when the coin touches the border of the chessboard.



ID 5123

Statistics, Data Analysis and Probability K12Gerry's favorite digit is 7.

What is the probability that there is at least one 7 in the three-digit registration numbers of the next two cars that pass by?



ID 5134

Statistics, Data Analysis and Probability K12I put red and white chocolate candies into a bag.

I randomly took 2 candies, noted their colors, and put them back into the bag.
I made 100 tests and both candies were white in 50 cases.

What is the most likely minimum possible number of candies in the bag?



ID 5135

Statistics, Data Analysis and Probability K12Coin landing on its edge

I flip a fair Swiss franc* and it falls in mousse**.

What is the probability that the coin stays on its edge after the mousse melts?

*One Swiss franc is about 1 USD; diameter 23.20mm , thickness 1.55mm, weight 4.4g.
During a coin toss, the coin is thrown into the air such that it rotates edge-over-edge several times.

**A mousse (French 'foam') is a prepared food that incorporates air bubbles to give it a light and airy texture.



ID 5148

Statistics, Data Analysis and Probability K12I roll two dice, one with the left hand and one with the right.
If the left hand die gives an odd number, the overall score is zero.
If the right hand die gives an even number, I roll it again and again until it is odd.
The score is the sum of the two numbers, except for the previously mentioned case.

There are exactly 6 possible scores: 0, 3, 5, 7, 9, and 11.

What is the average score?


The problem was suggested by Leslie Green



ID 5180

Statistics, Data Analysis and Probability K12Leslie Green asks:

Criminal gangs have been known to pay vagrants to search through people’s refuse to find useful information like bank statements, credit card statements, receipts and so forth. With such personal information the criminals can then pretend to be the householder and take out loans, buy things or do other bad things having stolen somebody’s identity.
Steve is fairly careful about shredding such documents, but about 5% of the time an important document slips into the refuse unshredded. Fortunately, unless he is being specifically targeted, it is pretty unlikely that somebody will be going through his refuse every week. Let’s put the odds at 1 in 1000 for each weekly collection.

Assuming that if Steve fails to shred a document, and if the criminals are searching his bins at that time, his identity will be stolen, what is the chance of that happening in a 10 year period?



ID 5216

Statistics, Data Analysis and Probability K12Jane was a naughty little girl. When she used to play 2-dice games with her late grandfather she always used to cheat. Her grandfather would pretend not to notice that the dice had landed and that she quickly changed one of the dice to her advantage. Specifically, if it was her throw she changed the lowest die to a 6. If it was his throw she changed the highest die to a 1.

Over a long run of throws, how much bigger was Jane’s average score than her grandfather’s?

Author: Leslie Green



ID 5243

Statistics, Data Analysis and Probability K12Gerry tosses 2 coins and Jane tosses 3 coins.

What is the probability that Jane has more heads than Gerry does?



ID 5266

Statistics, Data Analysis and Probability K12There are 9 houses on a street. The distance between any two adjacent houses is the same.
There is 1 child living in house number 1, two children living in house number 2, and so on. Nine children live in house number 9.

If the school bus can only make one stop on that street, in front of which house should the bus stop so that the sum of walking distance among all children will be minimum?



ID 5335

Statistics, Data Analysis and Probability K12Martin has ten thousand dollars in the Mad Money's bank account. The interest rate for his account is 100% every year. The probability of the bankruptcy of the bank is 50% every year.

What is the expected amount of his money after three years?



ID 5382

Statistics, Data Analysis and Probability K12A team of two geeks, Jane and Gerry, independently answers true-or-false questions.
Jane answers 75% of the questions correctly, and Gerry answers 3/4 of the questions correctly.
The answer is only accepted as the team's response when the young people give the same answer.
If their answers are different, then the result is ignored.

What is the probability that a team response is correct?



ID 5404

Statistics, Data Analysis and Probability K12Einstein, the hyper-intelligent house cat, is busy walking from one corner of a rectangular room to the diagonally opposite corner in an apparently random manner. His rather stupid human slaves can’t work out what he is doing.

The light and dark carpet tiles on the floor look like part of a chess board, with exactly 10 tiles down the length and 6 tiles across the width. Einstein has decided to move from one corner of the room to the diagonally opposite corner, at each tile moving only down the length or across the width of the room.

How many different routes are there from one corner to the diagonally opposite corner?

[HINT: You could try an easier problem first.]

Author: Leslie Green



ID 5406

Statistics, Data Analysis and Probability K12Anton, the highest IQ house ant on the planet, is taking his regular nocturnal walk from one corner of the chess board (1,1) to the diagonally opposite corner (8,8), moving only right or up the board at each successive square. He remembers that on square (5,3) there is a 'black-hole', so any valid route must exclude this square.

From how many different paths can he choose?

[HINT: You could try an easier problem first.]

Author: Leslie Green



ID 5410

Statistics, Data Analysis and Probability K12Martin, the mathematical mole, has dug an extensive network of underground tunnels which he has approximated, in his magnificent mole mind, as a 3D lattice of 30 x 30 x 30 intersections. The distance between intersections is approximately constant. He is currently at intersection (20, 20, 15) and wishes to get to his secret food cache at (25, 25, 20) by one of the many shortest routes available. There are stones blocking the intersections at (21, 22, 10), (22,19,18), (22, 22, 16), (24, 18, 18) and (26, 26, 18).

From how many equally short paths can he choose?

[HINT: You could try an easier problem first.]

Author: Leslie Green



ID 5412

Statistics, Data Analysis and Probability K12Marek, the pan-dimensional super being, has arbitrarily defined his current location as (0,0,0,0,0,0) in 6D hyperspace. He wishes to reach location (3, 0, 2, 0, 4, 3) by one of the many shortest paths available. Despite his immense power, he can only move one hyperstep at a time, each hyperstep consisting of a unit change in exactly one of the coordinate values. Any hyperstep is of equal ‘length’.

From how many of the shortest paths can he choose?

[HINT: You could try an easier problem first.]

Author: Leslie Green



ID 5416

Statistics, Data Analysis and Probability K12 Twenty Knights sit around the Round Table in the following order:

1. King Arthur
2. Sir Gawain
3. Sir Lancelot
4. Sir Percival
5. Sir Galahad
6. Sir Bors
7. Sir Kay
8. Sir Gareth
9. Bedivere
10. Lucan the Butler
11. Sir Griflet
12. Sir Yvain
13. Sir Erec
14. Cador
15. Hoel
16. King Pellinor
17. Tristan
18. Morholt
19. Palemedes
20. Dinadan

Every second Knight leaves the Round Table for a battle until only one is left.

Who is he?



ID 5417

Statistics, Data Analysis and Probability K12In what numeral system is the phrase correct?

8 + 8 = 10



ID 5431

Statistics, Data Analysis and Probability K12Leslie Green asks: " The sinusoidal waveform shown has a peak amplitude of 20 and a period of 2. What is a rough estimate for the mean value of the waveform over the interval shown (from t=0 to t=5)? (There is no need to use Calculus).

HINT: Areas below the x-axis should be considered as negative when calculating the mean. "



ID 5463

Statistics, Data Analysis and Probability K12Christmas is getting near, and a four person company wants to run a Secret Santa scheme. The idea is that all four names are put into a hat and drawn at random. You buy a present for the person whose name you pick. Sadly, for the last three years in a row, at least one person has picked themselves, ruining the draw.

Estimate the probability that the draw will fail this year because somebody picks themselves.

Author: Leslie Green



ID 5507

Statistics, Data Analysis and Probability K12What are the odds of getting at least two tails in a row if you flip a dime four times?



ID 5553

Statistics, Data Analysis and Probability K12Evguenia's teacher assigns 24 math problems to solve. She sorts them from the simplest to the hardest. She can solve the simplest problem in 1 minute. Each following problem requires 2 seconds more than the previous one.

How many problems would Evguenia solve in 30 minutes?



ID 5752

Statistics, Data Analysis and Probability K12Five students randomly choose their places on a bench. Jane comes first and chooses a place. Any future person will only sit in a seat next to someone who is already sitting down.

What are the chances that Gerry and Jane sit together, given that Gerry arrives last?



ID 5805

Statistics, Data Analysis and Probability K12John accidentally drops his text book and it falls open at a random position somewhere near the middle of the book. He immediately counts the sum of the two visible page numbers.

What is the probability that the sum of the two visible page numbers is equal to the sum of three consecutive page numbers?

Author: Leslie Green



ID 5814

Statistics, Data Analysis and Probability K12Balls sequentially numbered from 1 to 10 are put into a box at 1 minute to noon, then number 1 is taken out. At 1/2 minute to noon balls numbered 11 to 20 are put in then number 2 is removed. At 1/3 minute to noon balls 21 to 30 are put in and number 3 is removed, and so on.

How many balls are in the box at noon?

[ from A Mathematician’s Miscellany by J.E. Littlewood (1953) ]



ID 5815

Statistics, Data Analysis and Probability K12John takes a fair coin and tosses it until the sequence head-tail-tail (HTT) is achieved. This is one run. He records the number of tosses to achieve the result then starts again, discarding the recent coin toss history. He averages the number of tosses per run over a great many runs.

Mary does the same thing, but she is looking for the sequence HHH.

What can we say about the average run lengths?

[adapted from TED Global talk, July 2005, by Prof Peter Donnelly FRS]



ID 5854

Statistics, Data Analysis and Probability K12Anna, Bob, Cindy, and Daniel have correspondingly 50%, 60%, 70%, and 80% chances of knowing how to solve each problem correctly in the next test. They know which problem they can and cannot solve.

What average score do they expect to get if they take the test in pairs, which they wisely choose?



ID 5861

Statistics, Data Analysis and Probability K12In a city, all adults are married and some couples have a child. Exactly half of the population including children are in 2-member families and exactly half of the people are in 3-member families.

What is the average size of a family in the city?



ID 5875

Statistics, Data Analysis and Probability K121 - 2 + 3 - 4 + . . .

What is the result?



ID 5898

Statistics, Data Analysis and Probability K12I throw the dice one after another so that each throw takes me one second.
If I will stop the game as soon as I get a 3 immediately after a 2, which follows 1, estimate the expected duration of the game.



ID 5901

Statistics, Data Analysis and Probability K12The Two Envelope Paradox

One envelope has twice as much money as the second one. Gerry does not know which envelope contains the larger amount.
He takes one of the envelopes, counts the money, and is offered the chance to switch the envelope.

He thinks "If the amount of money in the chosen envelope is X dollars, then the other envelope contains either 2X of 0.5X dollars, with equal probability of 0.5. The expected value of switching is 0.5 (2X) + 0.5 (0.5X) = 1.25X. This is greater than the value in the initially chosen envelope. It is better to switch."

What is your advice?



ID 5968

Statistics, Data Analysis and Probability K12 Box A contains 3 blue balls and 1 red ball, all of the same size, weight, and texture.
Box B contains 1 blue ball and 2 red balls, all indistinguishable from those in box A.

I draw one ball from box A at random, examine it carefully, and put it into box B. I shake box B to mix up the balls, then draw a ball from that box at random.

What is the probability that the ball is blue?

Author: Leslie Green



ID 6006

Statistics, Data Analysis and Probability K12The shape obtained from rotating the equation about the x-axis resembles a trumpet. Hence, the solid so obtained is called Torricelli’s trumpet or Gabriel’s horn or the horn of infinity.

Estimate the volume and the surface area of the infinite horn.



ID 6119

Statistics, Data Analysis and Probability K12A Wikipedia article shows parts of the Earth with annual sunshine duration (sunshine hours).

Estimate the percentage of the largest sunshine duration compared to the duration of an year.



ID 6129

Statistics, Data Analysis and Probability K123! means 3 factorial : 3! = 1 x 2 x 3 = 6

Estimate how long 10! seconds is.



ID 6155

Statistics, Data Analysis and Probability K12Gerry moves to an area that has floods with a 100-year recurrence interval and volcanic eruptions with 200-year recurrence interval.

What is the probability of a disaster in the first year of Gerry's staying in this wonderful place?



ID 6182

Statistics, Data Analysis and Probability K12Leslie Green asks:

My black credit card has a 16-digit number. Credit cards have the digits 0-9 with equal probability in each digit position.

What is the probability that the sum of the first fifteen digits is equal to the sum of the last fifteen digits?



ID 6218

Statistics, Data Analysis and Probability K12There are 100 unique numbered components in a bin. You select 5 components at random. You then sort the components into numerical order.

How may different selections can you make (you restore the components to the bin after each selection)?

(You are specifically invited to use your calculator to solve this problem.)

Author: Leslie Green



ID 6263

Statistics, Data Analysis and Probability K12The picture shows problem complexity growth curves for computing problems. If N is the number of elements in the problem, then the growth can be proportional to
N2,   N.log(N),   N,   exp(N),   N!   and so on.

Which type of growth is the worst (fastest)?

Author: Leslie Green



ID 6273

Statistics, Data Analysis and Probability K12The FastMoney bank decides to only allow passwords with a length of exactly 8 characters. Each position in the password can contain a lower case letter, an upper case letter, a digit, or a special character. For simplicity we will take the sum as 70 possible characters per position.

The bank then randomly asks for the character in 4 unique positions within the password. For example on one day it might ask for characters in positions 3, 6, 2, and 5.

Assuming that you have chosen to not repeat any character within your password, how many unique key sequences are possible for you to correctly logon to your existing account.

Author: Leslie Green



ID 6274

Statistics, Data Analysis and Probability K12Your boss has asked you to produce a report of average sales figures over the last few years.

What rule should you use to calculate the average value?

Author: Leslie Green



ID 6315

Statistics, Data Analysis and Probability K12How many integers have a factor under 6?

Author: Vincent Granville



ID 6319

Statistics, Data Analysis and Probability K12How many integers have at least one non-trivial factor under 10?

(plusmn;1 are trivial factors of any integer, as is plusmn; the number itself.)

Inspired by Vincent Granville



ID 6369

Statistics, Data Analysis and Probability K12In a typical carnival game, the player tries to throw a rubber ring over a wooden peg.
We won't consider any "tricks of the trade" which reduce the player's chance of winning. Consider the ring falling straight down onto the pegs at random.

Call the peg diameter P, with the inner diameter of the ring as 2P. The pegs are on a square grid of 5P side length and large extent (lots of pegs).
The outer diameter of the ring is small and doesn't affect the outcome.
Success is defined as those cases where the ring falls directly over the peg without hitting it first.

What is the probability of random success?

Author: Leslie Green



ID 6373

Statistics, Data Analysis and Probability K12Alan, aged 10, has a devious plan to "prove" that he is good at mathematics. He plans to go on to the site ApusClick.com and take on questions for 17 year olds in front of a single adult witness. He will randomly click on answers to two questions only. If he gets both correct he gets his witness to tell everyone what happened, "proving" his brilliance. If he gets any question wrong, he immediately stops, discards that adult, and picks a new witness.

Alan is especially lazy, and can't even be bothered to remember what the correct answer is when he has answered a question previously.

What is the probability of Alan proving his brilliance if he has a pool of 20 adults to use?

(Please use a calculator if you need to.)

Author: Leslie Green



ID 6391

Statistics, Data Analysis and Probability K12Suppose you want to photograph the cat when it passes through an invisible beam, but you also want to know where it came from. You automatically record the digital camera images to a memory buffer, one after the other, always overwriting the oldest image. The buffer has a certain length, and when you get to the end, you start again at the beginning. Each position in the buffer has a positive index, starting from 0. You write to the current position, then increase the position counter by one. When you increase beyond the end of the buffer you reset the counter to zero.

The position counter is called POS. The buffer length is called BLENGTH.

What is the correct value for the position counter if you want to go back 20 images from the last image?

Author: Leslie Green



ID 6395

Statistics, Data Analysis and Probability K12Jane is studying the subject of fluid mechanics from text books. In the first book she reads she estimates that there were 1000 key facts presented. In the next book she reads this also presents 1000 facts, but half of these are duplicates of what she has already read, but more worryingly, 0.1% contradict previous facts.

If every future book she reads has 1000 facts, but new facts halve in number with each successive book, and contradictions occur randomly at a fixed 0.1% rate, what is her projected accumulation of true facts after she has studied an infinite number of such books?

Author: Leslie Green



ID 6473

Statistics, Data Analysis and Probability K12I have put 3 ordinary 6 sided dice in a cup, and I am shaking them. Before I cast them out onto a table I want you to decide, using the mystical powers of your mind.

If you win you get to pick a prize from the prize table. Otherwise you will get nothing.

Author: Leslie Green



ID 6595

Statistics, Data Analysis and Probability K12Jane and Gerry put the marbles in a bag.
Without looking, Jane takes two marbles, then Gerry takes one.

What are the chances for him getting the red marble?



ID 6601

Statistics, Data Analysis and Probability K12Jane and Gerry put the marbles in a bag.
Without looking, Jane takes eleven marbles one by one, then Gerry takes the last one.

What are the chances for him getting the red marble?



ID 6624

Statistics, Data Analysis and Probability K12Medical Test.

A particular test for a disease is 96% accurate.
If one has the disease, the test comes back 'Yes' 96% of the time, and if one does not have the disease, the test comes back 'Yes' 4% of the time.

If 100 of 10000 tested patients have the disease, what is the probability that the person with the diagnosis 'Yes' has the disease?



ID 6679

Statistics, Data Analysis and Probability K12There are 4 transparent and 11 green-glass soda bottles in a crate.

In how many different ways can the bottles be arranged in the crate?



ID 6702

Statistics, Data Analysis and Probability K12Ten bees work today. Each bee, after the first one, collects one less than twice as many grains of pollen as the previous bee.

If the first bee has 2 grains of pollen, how many grains did the last bee collect?



ID 6704

Statistics, Data Analysis and Probability K12Gerry aims at the center (centre) of the large target. He is sufficiently accurate that he always hits the target. He throws 2 darts and adds up the scores.

What is his chance to score 2 in total?



ID 6832

Statistics, Data Analysis and Probability K12Estimate the number of cells on the surface of the sphere.



ID 6834

Statistics, Data Analysis and Probability K12Compare the security of a 4 digit passcode using two different entry methods:
In the first method all 4 digits are entered and an ENTER button is pressed.
In the second method each digit is ENTER'ed in turn, and the next digit can only be entered once the previous digit has been validated.

Consider only the unlucky (worst) case for each method.
What is the ratio of the number of ENTER key presses of the first method compared to the second method?

Author: Leslie Green



ID 6928

Statistics, Data Analysis and Probability K12At a factory, a quality controller inspects 5 randomly-selected light sets out of every 800 items produced.

At this rate, how many sets are inspected every year if the factory produces 500,000 lights annually?

This is typical SAT question.



ID 6987

Statistics, Data Analysis and Probability K12Martin had $100 million three years ago.
He had $120 million two years ago.
He had $144 million last year.

How much money does he expect to have at the end of this year?



ID 7040

Statistics, Data Analysis and Probability K12Ten brave men are in the corners of a pathway that has the shape of a regular star.

At the same moment in time, each of them randomly chooses a direction and starts walking.

Estimate the probability that nobody meets another man?



ID 7043

Statistics, Data Analysis and Probability K12You have two pairs of socks.

You blindly choose two of four.

How much greater is the probability of getting a mismatched pair compared to a matched pair?



ID 7045

Statistics, Data Analysis and Probability K12Find the sum.

In 1802, Cambridge University, UK asked this problem to students seeking a bachelor’s degree.



ID 7055

Statistics, Data Analysis and Probability K12The probability of meeting a bear in a 3-day hiking trip in the Wild Life National Park is 0.875.

What is the probability of meeting a bear in an 1-day hiking trip?



ID 7073

Statistics, Data Analysis and Probability K12One of the most ancient examples of literature on clay tablets says that Gilgamesh was 1/3 god and 2/3 human.

How many generations before his birth were the ancestors of Gilgamesh pure humans and gods?

If Gilgamesh existed, he probably was a king who reigned a kingdom in Mesopotamia sometime between 2800 and 2500 BC.



ID 7099

Statistics, Data Analysis and Probability K12Leslie Green asks:

You spin a wheel and it randomly lands on $1, $2, $3, or END. If you land on $1, $2, or $3 you get that money and spin the wheel again. You keep receiving money until you land on END.

What is the probability of receiving $2 or more when playing this game once?



ID 7104

Statistics, Data Analysis and Probability K12Consider an extremely rare event which might randomly happen with a probability, P, of 1 in 1 million million (10-12). This might be the probability of your street getting hit by a meteorite during a particular hour, for example, but we don't pretend for an instant that the probability given is actually correct for such an event. Now consider that this event has 10 million chances to occur (N), so for our example we might say our observation period was 10 million hours.

How should you calculate the chance that the event will occur within the stated interval when using a handheld calculator?

Author: Leslie Green



ID 7123

Statistics, Data Analysis and Probability K12The black washer is constrained to randomly fall flat onto the outer square, the outer edge of the washer being within the outer square. The diagram is exactly to scale.

What is the probability that we see only red through the hole in the washer?

by Leslie Green



ID 7127

Statistics, Data Analysis and Probability K12The numbers W, X, Y, and Z are 1, 2, 3, and 4 in some order.

What is the order of the numbers to get the greatest possible value of the expression on the black board?



ID 7146

Statistics, Data Analysis and Probability K12If one elf can make two elves after an hour of work, how many elves are there after 24 hours?



ID 7153

Statistics, Data Analysis and Probability K12The manufacturer of a 5000 point linear sensor array for flatbed scanners has a new quality manager. The old quality manager ignored single isolated pixel faults within the array, but rejected an array where two faulty pixels were right next to each other. The new quality manager wishes to improve quality by rejecting dual-fault arrays if the two pixels are within 10 pixels of each other.

Pixel faults are entirely random, and occur with a probability P = 10-5 (1 in 100,000).

To be clear about this, the pixels are all in a single straight line. If pixels 1 and 11 are faulty, that is the limiting case of a faulty array.
Considering only two-fault arrays, how much more probable is a failed array under the new scheme?

If you don't know where to start with this problem, try an easier one first.

by Leslie Green



ID 7175

Statistics, Data Analysis and Probability K12You have been told that the weight of cabbages produced by the hydroponics facility has a Gaussian (Normal) distribution with a mean of 1000g and a standard deviation of 100g. Estimate the proportion of cabbages in the range 900g to 1100g.

by Leslie Green



ID 7178

Statistics, Data Analysis and Probability K12You are in charge of quality control in a factory producing tens of thousands of self-sealing stem bolts per day. You measure the length of every bolt and produce a statistics report for the management every month. You have curve-fitted the data to a Gaussian (Normal) distribution and extracted the mean and variance data.

Is it correct to calculate the out-of-tolerance rate using statistical tables based on the measured mean and variance data?

by Leslie Green



ID 7181

Statistics, Data Analysis and Probability K12Leslie Green asks:

What is the value of A?



ID 7182

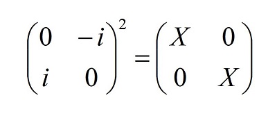
Statistics, Data Analysis and Probability K12Leslie Green asks:

Multiplication of 2 x 2 matrices is boring and only for little kids ... except perhaps when they contain imaginary numbers.

i is the square root of minus one.

What is the value of X?



ID 7215

Statistics, Data Analysis and Probability K12The transpose of a matrix is constructed by interchanging rows with columns. Such a matrix is identified by a superscript T.

If a matrix is equal to its own transpose, what is a necessary and sufficient description?



ID 7217

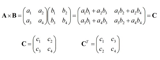
Statistics, Data Analysis and Probability K12Matrix multiplication in general is non-commutative.
For ordinary numbers (real and integer) and even for complex numbers, multiplication is commutative. You can swap the order and get the same result.

Here we show the multiplication of two general 2 x 2 matrices, producing a third 2 x 2 matrix.

What is the result of B x A?



ID 7228

Statistics, Data Analysis and Probability K12What is the best description of the matrix identified by the question mark.



ID 7229

Statistics, Data Analysis and Probability K12What is the sum of the unknowns A and B?



ID 7277

Statistics, Data Analysis and Probability K12What is the fewest number of people that could have visited a movie show in the open-air cinema, if exactly 99.84% of the people watched the film until the end?



ID 7321

Statistics, Data Analysis and Probability K12Leslie Green asks:

Now that John has to handle his own laundry, he has invented a new scheme. The top pullover on the shelf is the next one he wears. After washing, the cleaned and dried pullovers are placed back on top of the pile.

What is the best name for such a system?



ID 7376

Statistics, Data Analysis and Probability K12Patricia randomly chooses a pen from a large collection of white, yellow, and blue pens. The numbers of white and yellow pens are the same. There are twice as many blue pens as white pens.
Peter randomly chooses a piece of paper from a large collection of white, yellow, and blue sheets. There are equal amounts of yellow paper and blue paper, but twice as much white as yellow.

Wendy takes the pen and paper and writes a note.

What is the probability that the writing will not be visible? (This occurs when the pen and paper are the same color.)

by Leslie Green