ID 857

Algebra  K11Simplify the expression

12(3 + x) – 4(5x – 6).



ID 859

Algebra  K11In the equation

y = 9x2 – 1,

which is the value of x when y = 8?



ID 866

Algebra  K11Simplify



ID 867

Algebra  K11What transformation creates an image with a vertex at the origin?



ID 871

Algebra  K11What relation goes through points A, B and C?



ID 875

Algebra  K11Which point would be on a line passing through C and perpendicular to the line AB?



ID 876

Algebra  K11Between what two whole numbers does the result lie?



ID 888

Algebra  K11Which of the following green areas best represents the graph of the inequality

y < (x-1)2



ID 891

Algebra  K11A is the set of all points (x,y) in the shaded region.

Find the set B consisting of all points (2x, -y)?



ID 892

Algebra  K11Which of the following graphs represents all values of x such that



ID 895

Algebra  K11The last digit of the number 333 is:



ID 902

Algebra  K11Which of the following could be a value of x?



ID 903

Algebra  K11A perfect cube is an integer whose cube root is an integer.
For example, 64 and 125 are perfect cubes.
A and B are perfect cubes.

Which of the following will NOT necessarily be a perfect cube?



ID 906

Algebra  K112 + 2 = 5

Find an error in the proof.



ID 909

Algebra  K11Find the expression that is INCORRECT.



ID 910

Algebra  K11Find the expression that is INCORRECT.



ID 916

Algebra  K11Find the value of F, if a = 0.2.



ID 991

Algebra  K11Eugenia used 192 digits to number the pages in her diary.

How many pages does the diary have?



ID 1540

Algebra  K11Which of the following gives the largest value?



ID 1586

Algebra  K11Do these rays have one point of intersection?

If yes, find the x-coordinate of the point.



ID 1973

Algebra  K11What is the largest product of positive integers that add up to 17?



ID 3111

Algebra  K11Identify the location of point E after the transformation (x 2 + 4, y – 3).



ID 3138

Algebra  K11How much does the maximum value of

2 - 2sin(x)

exceed the maximum value of

2 - (2-x)2 ?



ID 3283

Algebra  K11Which point is on the axis of symmetry of the graph of the parabola?



ID 3368

Algebra  K11Xia and Yvonne collect buttons.
Xia only collects the ones with two holes and Yvonne only collects the ones with four holes.
Xia has 10 more buttons than does Yvonne.
The total number of holes found in all of their buttons is 110.

How many buttons do they have?



ID 3406

Algebra  K11Nine teams enter a basketball tournament.
Each team plays one match against each of the other teams, getting three points for a win, one point for a draw and none for a defeat.

Which of the following is a possible value of the total number of points earned by the teams at the end of the tournament?



ID 3861

Algebra  K11A frog ate 20 flies in a day.
Each day, the frog ate 20 more than on the day before.

In how many days did she eat 1000 flies?



ID 3879

Algebra  K11If the admittance rate to a prestigious university is 7.5% and 810 students were admitted, how many people applied to the university?



ID 3940

Algebra  K11Mr. Rapid always starts driving on a motorway at exactly 7:00 a.m.
If he drives on cruise control at 45 miles per hour, he arrives at work 3 minutes late.
If he sets the cruise control to 48 miles per hour, he arrives at work 1 minute early.

At what time should he be in his office?



ID 3953

Algebra  K11In a city, three-quarters of the men are married to four-fifths of the women.

What is the ratio of men to women in the city?



ID 3959

Algebra  K11Mr. Rapid always starts driving on a road at exactly 7:00 a.m.
If he drives on cruise control at 24 miles per hour, he arrives at work late.
If he sets the cruise control to 48 miles per hour, he arrives at work early.
The amount of time he is early is also the amount of time he is late.

How fast should he go to get to his office exactly on time?



ID 4001

Algebra  K11There are N students in a class and only 8 of them are girls.

If 11 boys added to the class, how many students in the class are boys?

This is a typical SAT question.



ID 4060

Algebra  K11The rear tires of my car wear out after 40,000 miles, whilst the front tires are done after 20,000 miles.

Estimate how many miles I should drive before the tires (front and rear) are rotated to drive the maximal distance.



ID 4069

Algebra  K11X2 = 4004001

Find X without using a calculator.



ID 4234

Algebra  K11Ben ate 100 bananas between Monday and Friday, stopping for the weekend.
Each day he ate six more bananas than on the previous day.

How many bananas did Ben eat on Wednesday?



ID 4282

Algebra  K11Which gives the smallest answer if

X and Y are integers,
X is greater than Y and
Y is greater than 1?



ID 4330

Algebra  K11On an island, the ratio between the number of adult men and the number of adult women is 2 ∶ 3 and the ratio between the number of adults and the number of children under 16 is 5 ∶ 4. What is the ratio between the number of adult women and the number of children?



ID 4377

Algebra  K11Which number could be written as a sum of 4 consecutive numbers?



ID 4667

Algebra  K11Figure out without using a calculator which product is greater:



ID 5136

Algebra  K11It takes two gardeners 6 days to mow a lawn.

One is lazy and one is enthusiastic.

The motivated one would only take 10 days to mow it on his own.

How many days would the lazy guy take to mow the lawn on his own?



ID 5174

Algebra  K11Derek dragon became a vegetarian two years ago. Derek likes to eat 3 baskets full of apples and 5 baskets full of berries for his birthday feast. But this year he can’t find many berries so he settles for 4 baskets of apples and only 1 basket of berries instead. Surprisingly, he feels equally satisfied. His mind drifts back to the old times when humans in metal suits used to clank into his cave. They made a nice crunchy breakfast treat!

How many baskets of berries will satisfy this dragon for his next birthday feast?



ID 5176

Algebra  K11Find the ratio of the green and blue areas

y = x2.



ID 5233

Algebra  K11Which of the following gives the largest answer?



ID 5281

Algebra  K11I participate in a 10-day rally.
The rear tires of my car wear out after 4,000 miles, whilst the front tires are done after 5,000 miles.
I have 5 spare tires and periodically change the tires.

How far can I drive with the tires?



ID 5368

Algebra  K11Two trains start at the same time, one from Zurich to Lausanne, the other from Lausanne to Zurich.
One train arrives at the destination one hour later than the other train.
One train was 1.5 times faster than the other.

How long was the trip for the fast train?



ID 5562

Algebra  K11595 people live on an island.

Eighty percent of men are married with women.
Each married couple has two children: a girl and a boy.

What is the male population of the island if all women are married?



ID 5584

Algebra  K11For what green cross width X are the green and yellow areas the same?



ID 5615

Algebra  K11A girl is about as many days old as her mother in weeks and as her grandmother in months.

All three together are 135 years old.

How old is she?



ID 5616

Algebra  K11A shop has 400 fish. Every month, the population of fish grows by 10%.

What is the maximum monthly amount of fish that can be sold, so that there are always some fish in the shop?



ID 5643

Algebra  K11A x B = A + B

If A and B are positive integers that satisfy the equation above, find A - B.



ID 5674

Algebra  K11If the answer to this question is X, what is 0.5(1 + X2)?



ID 5695

Algebra  K11Find the difference of two different integers X and Y
if
XY = YX



ID 5786

Algebra  K11The formula for converting a Celsius temperature (C) to a Fahrenheit temperature (F) is given by

F = (9/5) x C + 32

There is a simple approximation: You double C and add 30.

The error in the approximation varies from 2°F to 6°F in the range of -20°C to +20°C.

What is the Celsius temperature when the approximation is exact?



ID 5874

Algebra  K11

I weighed 100 kg and my body was 60% water.
After my holidays in the Sahara Desert, my body is 40% water.

If I lose only water, how much do I weigh now?



ID 6045

Algebra  K11Find

20172 - 2 x (2018)2 + 20192



ID 6181

Algebra  K11How many solutions does the equation have?

sin(x) = 0.1x



ID 6255

Algebra  K11Leslie Green asks:

We put something into the blue box and something new comes out.

Can you decode the mystery of this 300+ year old mathematics?



ID 6298

Algebra  K11If the sum of two numbers and the sum of their squares are both equal to two, what is their product?



ID 6341

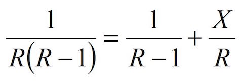
Algebra  K11This looks like a rather improbable equation.

What is the value of X?

Author: Leslie Green



ID 6543

Algebra  K11The 'perimeter' of a cuboid is measured along one of the three axes. The picture shows one perimeter of this cuboid.

If the perimeters of a cuboid are 48 cm, 56 cm and 64 cm, what is the volume of the cuboid?



ID 6545

Algebra  K11A company sells silk socks for $10 a pair. To produce each pair, the company spends $4 in materials and $3 in labor. The monthly operating/marketing costs are $400,000.

How many socks would the company have to sell to make $200,000 in monthly profit?



ID 6639

Algebra  K11How many solutions does the equation have?



ID 6645

Algebra  K11Gerry (who spent most of his time day-dreaming) earned half of what Jane earned (by working hard) in the first three years after their graduation. Jane spent 3/4 of her money; Gerry spent 2/3.
Now she has $10,000 more than her boy-friend.

How much did they earn between them over the course of these three years?



ID 6695

Algebra  K11Jane has two candles of the same length, one of which burns down in four hours, and the other in seven.
She lights them both at midnight.

When will one be twice as long as the other?



ID 6985

Algebra  K11Which of the following expressions has a greater value?

Please don’t use a calculator.



ID 7042

Algebra  K11In a shop, a piece of fruits costs an integer number of Rupees.
A mango costs M Rupees.
A nectarine costs N Rupees.
A kiwi costs K Rupees.

I bought N mangos, N nectarines, and (M + N) kiwis for 25 Rupees.

What fruit is more expensive: a mango or a kiwi?



ID 7190

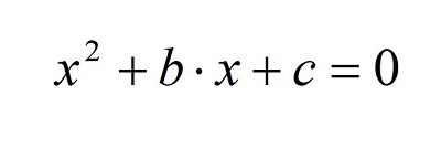
Algebra  K11Leslie Green asks:

Neglecting a scaling factor, the image shows a general quadratic equation with two constants, b and c.

Quadratic equations always have two solutions (roots) but they can be the same, and they can involve complex numbers.

What is the exact condition that the two roots are the same?



ID 7224

Algebra  K11What is differential Calculus most closely associated with?



ID 7237

Algebra  K11The polynomial P(x) has exactly three x values for which P(x)=0.
These are x=1, x=3, and x=-2.

What is the simplest form of P(x)?

HINT: consider the Factor Theorem.



ID 7371

Algebra  K11Alcuin, Abbot of Canterbury (AD 735-804) and one of the first English puzzlemakers asked "If 100 bushels of corn were distributed among 100 people in such a manner that each man received three bushels, each woman two, and each child half a bushel, how many men, women, and children were there?"

There are many different correct answers. If the number of men, women, and children are as close to each other as possible, what is the number of children?



ID 7373

Algebra  K11 Sheila opens up her piggy bank and counts the coins.
She lives in a strange and far away country, and the coins have values of 1p, 2p, and 5p.
There are 145 coins in total.
There are 5x as many 1p coins as 2p coins.
There are 4x as many 1p coins as 5p coins.

How many 2p coins are there?

by Leslie Green