ID 805

Statistics, Data Analysis and Probability K10The slice that has been eaten had 11 mushrooms on it.

What is the estimated number of mushrooms on the entire pizza?



ID 806

Statistics, Data Analysis and Probability K10The population of Funnytown increased from 9,999 people in 1999 to 11,111 in 2001.

What was the percentage increase?



ID 816

Statistics, Data Analysis and Probability K10Bob is rolling two dice and adding the numbers on the top faces.

What sum is Bob most likely to roll?



ID 823

Statistics, Data Analysis and Probability K10The average of eleven numbers is 9 and the average of another set of nine numbers is 11.

What is the average of all these numbers?



ID 825

Statistics, Data Analysis and Probability K10Fifteen numbers have an average of 15.
Five of these numbers have an average of 5, four other numbers have an average of 4, three an average of 3, and two an average of 2.
What is the remaining number?



ID 829

Statistics, Data Analysis and Probability K10What is the probability that the x-coordinate of a point randomly selected within the triangle is less than the y-coordinate?



ID 831

Statistics, Data Analysis and Probability K10The average (arithmetic mean) of the 9 numbers is 60.
Which pair of numbers could be removed from the list without changing the average?



ID 833

Statistics, Data Analysis and Probability K10The average (arithmetic mean) of a set of 10 different numbers is 100.
If the numbers 48 and 160 are removed from the set, what is the average of the remaining numbers?



ID 838

Statistics, Data Analysis and Probability K10In a class, 90% of the students earned A-grades on the first test, 80% earned A-grades on the second test, 70% on the third test, and 60% on the fourth test.

What is the smallest possible percentage of students who earned A-grades on all the tests?



ID 842

Statistics, Data Analysis and Probability K10Three boxes contain two coins each.
One contains two nickels, one contains two dimes, and one contains a dime and a nickel.
All three boxes are mislabeled.

If you are permitted to remove only one coin at a time, how many must you remove in order to be able to label all three boxes correctly?

Source: Fixx, James F Solve It!, 1978



ID 1018

Statistics, Data Analysis and Probability K10Everyone in tenth grade classes voted on a motion.
Sixty percent of the girls voted YES.
Forty percent of the boys voted YES.
The motion passes if over 50% of the votes are YES.

In what class did the motion pass?



ID 1019

Statistics, Data Analysis and Probability K10Alex received a 70 on his essay and a 90 on his final.
He got an 80 on class participation.
The essay counts as 30% of his grade.
Class participation counts as 20% of his grade.

What is his grade?



ID 1051

Statistics, Data Analysis and Probability K10John earned an average of 80% on his five exams.

What is the lowest possible percentage score he could have received in any one of the exams?



ID 1056

Statistics, Data Analysis and Probability K10By drawing two marks on a wooden ruler, we can measure 1, 2, 3, 4, 5 and 6 units. We can measure ALL units from 1 to 6.

What is the maximum number of units we can measure in such manner if we draw three marks on a longer ruler?



ID 1173

Statistics, Data Analysis and Probability K10What is the difference between the sums of numbers in the sixth and third columns?



ID 1311

Statistics, Data Analysis and Probability K10Statistics at statemaster.com shows the numbers of elementary and secondary school pupils per teacher in different states of the USA.
If the quality of education depends only on the ratio of teachers to students, which state has the best education system?



ID 1315

Statistics, Data Analysis and Probability K10The Smiths and Petersons went out to dinner.
The two couples chose a round table and randomly picked their places.

What is the probability that Mr. Smith is in front of his beloved wife?



ID 1344

Statistics, Data Analysis and Probability K10How many different lines can you draw through N points that are evenly spaced on a circle?



ID 1424

Statistics, Data Analysis and Probability K10In how many different ways or orders can four people line up?



ID 1425

Statistics, Data Analysis and Probability K10A pass code must comprise four different numbers from 0 to 9.

How many different pass codes can you use?



ID 1503

Statistics, Data Analysis and Probability K10There are 4 male and 3 female players on a national tennis team.

How many sets of mixed doubles teams can be formed?



ID 1556

Statistics, Data Analysis and Probability K10How many times in a 12-hour period does the sum of the digits on a digital clock equal 5?

(NOTE: This clock uses AM / PM rather than 24-hour format.)



ID 1777

Statistics, Data Analysis and Probability K10One person is chosen at random from the list.
What is the probability that his/her name contains the letter 'a'?



ID 1828

Statistics, Data Analysis and Probability K10Two cards are randomly chosen.
Two numbers are added.

What sum of numbers is most likely to occur?



ID 1886

Statistics, Data Analysis and Probability K10Bob the plumber has 10 pockets and 60 nuts.

He wants to put the nuts in all of his pockets so that no two pockets have the same number of nuts.

What is the largest number of nuts that a pocket can possess?



ID 1950

Statistics, Data Analysis and Probability K10A frog jumps one meter 3 times, and every time he randomly chooses one of four directions (either north, south, east, or west).

What is the probability that the frog is 3 meters away from where he started?



ID 1970

Statistics, Data Analysis and Probability K10Henry has 100 roses.
He gives them to his dancing partners in such a way that each girl gets at least one flower and no two girls get the same number of flowers.

What is the largest number of girls with whom he could dance?



ID 2047

Statistics, Data Analysis and Probability K10The Venn diagram shows the result of a survey of 80 students.
It indicates the number of people listening to 4 popular music genres.
If the proportion is the same in a school of 500 students, how many are expected to listen to only one music genre?



ID 2069

Statistics, Data Analysis and Probability K10I put 100 pennies, 20 nickels, 10 dimes, and 4 quarters in a bag.
I take 4 coins from the bag without looking.

What is the expected value of these four coins?

Penny = 1 cent.
Nickel = 5 cents.
Dime = 10 cents.
Quarter = 25 cents.



ID 2083

Statistics, Data Analysis and Probability K10This is a standard set of dominoes.
One domino has no spots and the greatest number of spots is 12.

If I randomly choose a domino, which number of spots has the greatest probability of appearing?



ID 2151

Statistics, Data Analysis and Probability K10Place the number tiles in the squares so that no two consecutive numbers are next to each other horizontally, vertically, or diagonally.

What is the sum of the two numbers in the red squares?



ID 2166

Statistics, Data Analysis and Probability K10The Venn diagram shows the result of a survey of 80 clients.
It indicates the number of people using 4 different service providers.
There are 8 clients who use all four providers.
If the proportion is the same in a region of 10,000 clients, how many are expected to use at least 2 providers?



ID 2174

Statistics, Data Analysis and Probability K10John sent an email to his three partners.
Everybody answered and copied the answer to all others.
A total of 12 emails were sent.

How many emails are sent if there are 40 people communicating in the same manner?



ID 2189

Statistics, Data Analysis and Probability K10There are four referees on a rectangular pitch, with one at each corner.
They all set off for a different corner along a side at random at 19:00.

What is the probability that none of the referees meet another referee?



ID 2191

Statistics, Data Analysis and Probability K10There is a legend that a stork brings babies to a village.
All parents continue to have children until they have a boy.
If they have a girl, then they try to have another child.
They stop if they have a boy.
The probability of giving birth to a boy is 50%.
What is the proportion of boys to girls in the vilage?

The photograph courtesy of Roland Sauter



ID 2197

Statistics, Data Analysis and Probability K10I arranged eight wooden sticks in the shape of a fish.

What is the minimum number of sticks that must be moved to make the fish face another direction?



ID 2209

Statistics, Data Analysis and Probability K10I have four boxes, each containing identically shaped balls: one of them is black.
A ball is randomly drawn out of each box.

What is the probability that at least one of the four balls is black?



ID 2211

Statistics, Data Analysis and Probability K10In a bakery store, 400 customers participated in a survey on Tuesday.
On Wednesday, 500 customers were asked at random, of which 40 confirmed that they were surveyed the day before.

Estimate the number of customers per day in the store.



ID 2230

Statistics, Data Analysis and Probability K10There are 9 children in a class and each knows a different piece of a short story. They are allowed to exchange what they know via email.

What is the minimum number of emails required to enable each child to know the whole story?



ID 2249

Statistics, Data Analysis and Probability K10How many times heavier than a rabbit is an elephant?



ID 2251

Statistics, Data Analysis and Probability K10The binary numeral system represents numeric values using two symbols: 0 and 1.

How is the number 999 written in binary code?



ID 2257

Statistics, Data Analysis and Probability K10I plan to roll a die 10 times.

Which of these results is more likely?



ID 2289

Statistics, Data Analysis and Probability K10Bob shaves himself 4 minutes per day.

If he lives 70 years, what is the total amount of time spent shaving?



ID 2291

Statistics, Data Analysis and Probability K10There are 10 green and 10 red jellybeans in a jar.

If I randomly remove 2 jellybeans, what is the probability that both are the same color?

(Note: the jelly beans are not replaced in the jar after having been removed.)



ID 2296

Statistics, Data Analysis and Probability K10The national debt of a country is $16.5 trillions.
It has a population of 300 million.

If each person paid back $100 per month, how long would it take to pay off the national debt, assuming there was no requirement to pay interest?

[ NOTE: Use the definition: 1 trillion = 1 million million ]



ID 2299

Statistics, Data Analysis and Probability K1080% of IT projects fail, and 20% of managers are female.

What fraction of male managers succeed?



ID 2304

Statistics, Data Analysis and Probability K10I participate in a Formula 1 race.

One second before the finish I am the first who overtakes the last.

What position do I finish?



ID 2307

Statistics, Data Analysis and Probability K10What is the logic behind?

What is the correct answer?



ID 2309

Statistics, Data Analysis and Probability K10A two-digit integer is 4.5 times larger than the same number read from right to left.

Find the number.



ID 3119

Statistics, Data Analysis and Probability K10The slice that has been eaten had 16 mushrooms on it.

What is the estimated number of mushrooms on the entire pizza?



ID 3145

Statistics, Data Analysis and Probability K10Five percent of the marbles in a jar are black.
One fourth of the marbles are green.
One half of the marbles are yellow.
The rest are white.

If there are 12 white marbles, how many marbles are in the jar?



ID 3149

Statistics, Data Analysis and Probability K10A bag contains 6 green, 5 gray, and 4 violet disks.

If a disk is drawn at random from the bag, what is the probability that the disk drawn is not green?



ID 3151

Statistics, Data Analysis and Probability K10If two dice are rolled 72 times, how many times is the sum of the two top numbers expected to be 10?



ID 3154

Statistics, Data Analysis and Probability K10Which number could be added to the set without changing the average (arithmetic mean of all the numbers)?



ID 3156

Statistics, Data Analysis and Probability K10The first person is 100 cm tall.
Each next person is 10% taller than the person before.

Who will be taller than 2 meters first?



ID 3179

Statistics, Data Analysis and Probability K10Four kinds of apples are combined in a box.
I select apples from the box without looking.

How many apples must I draw to be sure of getting at least two of one kind?



ID 3196

Statistics, Data Analysis and Probability K10Alex received a 70 on his essay and an 80 on his final.
He got a 90 on class participation.
The essay counts as 30% of his grade.
Class participation counts as 20% of his grade.

What is his grade?



ID 3204

Statistics, Data Analysis and Probability K10Statistics show that for every 100 babies born in Funny Town, there are 10 more boys than girls.

What is the probability that Mr. Smith's newborn twins are girls?



ID 3207

Statistics, Data Analysis and Probability K10As each of five eggs is weighed, the average weight increases by two grams each time.

If the first egg weighs 50 grams, what is the weight of the last egg?



ID 3282

Statistics, Data Analysis and Probability K10One person is chosen at random from the list.
What is the probability that his/her name contains the letter "n"?



ID 3327

Statistics, Data Analysis and Probability K10John arrives at a crossroad A from the North.
He makes moves each time randomly choosing one of three directions.
For example, he could be at point B making four moves.

What is the probability that he finds himself at point A after 5 moves?



ID 3336

Statistics, Data Analysis and Probability K1099 numbers have an average of 100.
Ninety of these numbers have an average of 99.
What is the average of the other nine numbers?



ID 3337

Statistics, Data Analysis and Probability K10The average of a set of 12 numbers is 1.

If 18, 35 and -20 are added to the set, what is the new average?



ID 3380

Statistics, Data Analysis and Probability K10Eugenia earned 60, 65, 71, 79, 85 and 90 on her mathematics examinations.
If she receives a score of 68 on the seventh exam, then the average will . . .



ID 3407

Statistics, Data Analysis and Probability K10I have ten dimes; nine are real, and one is fake.
Whenever a real dime is flipped, it comes up heads with a probability of 0.5.
A fake dime comes up heads up with a probability of 9/10.

What is the probability that a randomly chosen coin will come up heads?



ID 3420

Statistics, Data Analysis and Probability K10A chip is placed at the bottom left corner square of a 5 x 5 grid.
The chip is moved one space upwards or to the right. One of the directions is randomly chosen, for example, by flipping a fair coin.

What is the probability that the chip does not reach the center square of the grid in 4 moves?



ID 3463

Statistics, Data Analysis and Probability K10John answered 100 4-option multiple-choice questions.
He is sure that he correctly answered 60% of the questions.
In 30% of the questions, he chose the answer among two options, and he answered all other questions by randomly guessing among the four options.

What score does John expect to receive on the exam?



ID 3465

Statistics, Data Analysis and Probability K10There are six traffic lights on Speedup Avenue.

In how many ways can the lights be set so that no neighboring lights have the same color?


(We assume a traffic light sequence where only one colour is lit at a time. This would not be the case for traffic lights in the United Kingdom and some other countries.)



ID 3473

Statistics, Data Analysis and Probability K10Three apples were weighed in pairs and the weights were 200, 212, and 224 grams.

What is the weight of the lightest apple?



ID 3512

Statistics, Data Analysis and Probability K10Four bugs are at the four corners of an equilateral tetrahedron.
Each bug randomly picks a direction and moves along the edge of the tetrahedron until it reaches the next corner.

What is the probability that none of the bugs will meet another?



ID 3517

Statistics, Data Analysis and Probability K10How many coins must you move to form two infinite lines, each with exactly five coins?



ID 3523

Statistics, Data Analysis and Probability K10Order the shape by weight from lightest to heaviest.



ID 3557

Statistics, Data Analysis and Probability K10There are 21 cubes in the 6-cube tower.

What is the height of a tower made of 250 cubes?



ID 4052

Statistics, Data Analysis and Probability K10Successive discounts of 1% and 2% are equivalent to a single discount that is



ID 4053

Statistics, Data Analysis and Probability K10Successive discounts of 50% and 50% are equivalent to a single discount that is



ID 4215

Statistics, Data Analysis and Probability K10What is the average (arithmetic mean) of all the multiples of ten from 10 to 1000 inclusive?

This is typical SAT question.



ID 4233

Statistics, Data Analysis and Probability K10How many three digit numbers are evenly divisible by 17 (no remainder)?



ID 4307

Statistics, Data Analysis and Probability K10The amount of water flowing into a tank doubles every minute.
The tank is full in an hour.

When was the tank a quarter full?



ID 4332

Statistics, Data Analysis and Probability K10Seven soldiers have lined up in order of height, tallest to shortest.
They have to be lined up from small to tall.
This will be achieved by a number of interchanges of two soldiers next to each other.

How many interchanges are needed?



ID 4418

Statistics, Data Analysis and Probability K10The average IQ of 10 students is 101.
If nine of these students each have an IQ of 100, what is the IQ of the tenth student?

This is a typical SAT question.



ID 4441

Statistics, Data Analysis and Probability K10John and Mary borrow $3,000 to pay for new furniture.
They will pay back the loan by making 12 monthly payments of $333.

How much does the loan cost?

Compare the loan with the original price of the furniture.



ID 4488

Statistics, Data Analysis and Probability K10In a country, there is a baby born every 20 seconds, 1000 deaths every day and 6,000 people immigrate to the country every month.

To the nearest hundred, how many people are added to the population of the country each day?



ID 4545

Statistics, Data Analysis and Probability K10When 4 coins are tossed, what is the probability that exactly one is a head?



ID 4565

Statistics, Data Analysis and Probability K10Jane picks a random integer between 1 and 5 (inclusive) and Gerry does the same.
They then compared their numbers.

What is the probability that Jane's number is greater than Gerry's number?



ID 4567

Statistics, Data Analysis and Probability K10How many 1s are there in the result of the multiplication:

12345 x 99999?

Don't use a calculator.



ID 4578

Statistics, Data Analysis and Probability K10According to Wikipedia Mrs. Vassilyeva holds the record for most children: she gave birth to a total of 69 children: sixteen pairs of twins, seven sets of triplets and four sets of quadruplets between 1725 and 1765, in a total of 27 births.

What is the average number of children per birth?



ID 4695

Statistics, Data Analysis and Probability K10If the ratio of men to women in a company is 5 : 7, which of the following could not be the number of employees in the company?



ID 4734

Statistics, Data Analysis and Probability K10How many different bracelets can you make from four beads?



ID 4805

Statistics, Data Analysis and Probability K10Gerry wants to buy Jane a $100 gift in a pet shop.

If the sales tax is 10% and Benny is on 10% sale today, how much would he have to pay to buy Benny?



ID 4840

Statistics, Data Analysis and Probability K10The sum of 55 consecutive integer numbers is 5555.

What is the largest number?



ID 4923

Statistics, Data Analysis and Probability K10The letters A, E, I, O, and U are vowels.

Which word includes the largest percentage of vowels?



ID 4951

Statistics, Data Analysis and Probability K10If you toss eight dimes and three of them land heads up, what are the chances the ninth dime will land heads up?



ID 5032

Statistics, Data Analysis and Probability K10If I roll three dice, what is the probability of rolling a six on at least one of them?



ID 5048

Statistics, Data Analysis and Probability K10A survey shows that 85% of the population of a country speak English, 75% of the population speak French.

How many per cent of the population can speak both these languages if 5% of the population speak none of them?



ID 5084

Statistics, Data Analysis and Probability K10There is a 6% sales tax in a state.

How much tax did I pay for a car, if the check was $265,000 in total?



ID 5173

Statistics, Data Analysis and Probability K10Jane and Gerry work at a call center selling worthless rubbish to unsuspecting customers. They are in competition with each other to be the best seller today. In the morning they work from the easy customer list and in the afternoon they are forced to work from the difficult customer list.

In the morning Jane sells to 90 out of her 100 calls, whereas Gerry sells to 85 out of his 100 calls. 90% to 85% means Jane wins.

In the afternoon Jane sells to 30 out of her 100 calls, whereas Gerry, who is sad that Jane is winning, only makes 20 calls, and only makes 5 sales. With 30% to 25% sales figures, Jane again wins.

At the end of the day the boss totals the sales, totals the calls, and computes the aggregated percentage successful sales figure for each seller.

Who wins the competition?

The problem was suggested by Leslie Green



ID 5353

Statistics, Data Analysis and Probability K10Leslie Green asks:

Scientists and engineers need to use quantities which can vary over at least 30 orders of magnitude. Using zeros such as 0.000000000023 is impractical. Scientific notation uses a number between 1 and just less than 10, multiplied by a power of 10.

What is the scientific form for 0.000123?



ID 5365

Statistics, Data Analysis and Probability K10John gets a wage increase of 4% plus an extra $9 per week.
His present wage is $750 per week.

What will his new wage be?



ID 5508

Statistics, Data Analysis and Probability K10If Alex gets 90% on her math test, Beatrice gets 90% of Alex's results and Craig gets 90% of Beatrice's results, what is the approximate average score of the team?



ID 5510

Statistics, Data Analysis and Probability K10Which of the following is closest to

1234567 x 7654321



ID 5552

Statistics, Data Analysis and Probability K10When the ball hits the ground, it bounces back up to half its original height. It stops bouncing if the height is smaller than one tenth of foot.

How many times would it bounce if it is dropped from 30 feet?



ID 5572

Statistics, Data Analysis and Probability K10In an election, Hillary received 60% of the votes and Donald received all the rest.

If Hillary won by 12 votes, how many people voted?



ID 5579

Statistics, Data Analysis and Probability K10For every birthday, Janes parents put as many dollars in a piggy bank as her age in years.
There is a total of $136 in the piggy bank.

How old is she?



ID 5612

Statistics, Data Analysis and Probability K10I wrote all the integers from 11 to 99 inclusive.

Which digit appears less than the others mentioned below?



ID 5636

Statistics, Data Analysis and Probability K10In an office the ratio of men to women is 7 : 3
The ratio of right handed men to left handed men is 7 : 3
The ratio of right handed women to left handed women is 3 : 7
What is the percent of right handed employees in the office?



ID 5646

Statistics, Data Analysis and Probability K10Leslie Green asks

"John refused to learn how to cook, despite the best efforts of his parents and teachers.

Now he is at college, any meals he prepares can contain only some combination of boiled eggs, baked beans, and pizza.

How many different meals can he prepare?"



ID 5649

Statistics, Data Analysis and Probability K10In a village, 80% of houses contain two or more people.
Of those homes containing only one person, 20% contain a female. Forty men live separately.

How many houses are there in the village?



ID 5740

Statistics, Data Analysis and Probability K10Find two consecutive integers between which the result of the square root of 777 is.



ID 5770

Statistics, Data Analysis and Probability K10You toss N fair coins.

What is the probability that you get no heads?



ID 5772

Statistics, Data Analysis and Probability K10Determine the mean (the average) number of legs of the group.



ID 5835

Statistics, Data Analysis and Probability K10Jane is choosing a passcode for her computer.

If her passcode needs to be 6 characters in length and has to contain 2 capital English letters and 4 digits in any order, how many possible passcodes can she make?



ID 5837

Statistics, Data Analysis and Probability K10A teacher explains to his students about taxes by eating 30% of their ice cream.
If each of 24 students has a cone of ice cream, estimate the amount of ice cream the teacher ate?



ID 5844

Statistics, Data Analysis and Probability K10Three cantons are being allocated 20 seats in a Parliament. Canton A has 27% of the population, canton B has 33%, and canton C has 40%. The seats are counted by rounding to the nearest integer.

How many seats does canton B get?



ID 5853

Statistics, Data Analysis and Probability K10Kitty has 1000 beads.
100 of them are marble, and 200 are red.

If Kitty offers you one bead at random, what is the probability that it will be a red marble?



ID 5856

Statistics, Data Analysis and Probability K10The average height of an American is about 170 cm, which is 67 inches, which is approximately 5 foot – 7 inches tall.

The entire population of a town consisted of just 20 adults.
If two babies were recently born what is the average height of the town population?



ID 5967

Statistics, Data Analysis and Probability K10Since the year 2058, 11 year olds have been required to get high exam marks in one of four elective subjects in order to graduate; harder subjects can earn more points.
The maximum possible scores are
100 for Set Theory,
200 for Vector Calculus,
300 for Orbital Mechanics, and
500 for Quantum Cryptography.

Typically, students of Set Theory get 95 out of 100 questions correct in the exam, whereas the figures for the other subjects are 25 out of 50 for Vector Calculus, 11 out of 30 for Orbital Mechanics, and 21 out of 100 for Quantum Cryptography.

Which subject gives a typical student the highest score?

Author: Leslie Green



ID 6111

Statistics, Data Analysis and Probability K10Jim is going on a tour around the world. He has 5 tops, 4 bottoms, and 3 pairs of footwear. He wants to post a selfie everyday to show different places and his different outfits to his girl-friend Mary, who stays at home. He does not want to wear the same outfit twice.

For how many days does he have enough clothing?



ID 6120

Statistics, Data Analysis and Probability K10How many days are there in 21th century?



ID 6165

Statistics, Data Analysis and Probability K10A secret service of a country has 8 spies on payroll in a neighbour country. It is predicted that the network will increase the number of its spies by 50% each year.

How many spies will the secret service have in three years?



ID 6172

Statistics, Data Analysis and Probability K10In a country, a ticket is considered to have a "lucky" number if the sum of the first 3 digits is equal to the sum of the last 3 digits for a six digit number.
For example, the number 376079 marked green is lucky.

What is the most frequent sum of three numbers?



ID 6249

Statistics, Data Analysis and Probability K10In each move, you can only swap two adjacent cards.

What is the minimum number of moves required for the cards to be arranged backwards, that is

9, 8, 7, 6, 5, 4, 3, 2, 1?



ID 6250

Statistics, Data Analysis and Probability K10What day of the week will it be 44 years after Sunday, January 1st?



ID 6266

Statistics, Data Analysis and Probability K10Jane has just been learning about the binary number system. She counts using just the fingers and thumbs on her hands, with a curled finger representing a binary 0 and an outstretched finger representing a binary 1. She is counting up from zero (from left to right for you) in whole numbers.

First finger: 0 or 1
Second finger: 0 or 2
Third finger: 0 or 4
Fourth finger: 0 or 8

What number does she show?



ID 6280

Statistics, Data Analysis and Probability K10I have unlimited stock of all digits, except the digit "5" . I have only 165 fives.
I write counting numbers starting from 1.

How many numbers can I compose?



ID 6282

Statistics, Data Analysis and Probability K10Mathematicians love using symbols to avoid writing. If you don’t understand what the symbols mean, the resulting expressions are completely meaningless.

Can you crack the code? Can you guess what the upside-down U is supposed to mean?

Author: Leslie Green



ID 6375

Statistics, Data Analysis and Probability K10Logic Puzzle

There are only X types of people:
those who understand binary and those who don't.


What number can replace X?



ID 6387

Statistics, Data Analysis and Probability K10How many different ways are there to compose the word KAYAK, linking the circled letters by following the line segments in the picture?



ID 6405

Statistics, Data Analysis and Probability K10S = 1 x 2 x 3 x . . . x 9 x 10
L = 1 x 2 x 3 x . . . x 19 x 20

What is the result of L / S2 ?



ID 6460

Statistics, Data Analysis and Probability K10



ID 6472

Statistics, Data Analysis and Probability K10I put three dice into a cup, shake them up, and roll them out onto a table. A camera looks at the table from above, and computer software correctly finds and displays the die which is closest to the center (centre) of mass of the collection of dice.

What is the probability that the value displayed is 1, 2, or 5?

Author: Leslie Green



ID 6537

Statistics, Data Analysis and Probability K10In a strange and far-off land, supermarkets typically sell date-limited food at a discount at a particular time of day. Successful hunter-gatherers can then benefit from a product which was at its full price until only a few minutes beforehand.

The image depicts the price in units of pounds, a decimal currency such that 29p = £0.29.

What discount has been applied?

Author: Leslie Green



ID 6576

Statistics, Data Analysis and Probability K10What percent of 125 is 100?



ID 6582

Statistics, Data Analysis and Probability K10Gerry drinks Swiss Mountain whole milk (3.9% fat), while Jane drinks fat-reduced milk (2.5% fat).

If Gerry drinks 1000 ml, how much does Jane need to drink to get the same quantity of fat as Gerry?



ID 6590

Statistics, Data Analysis and Probability K10Divide 115 into two parts so that one will be 130 percent of the other.

What is the largest number?



ID 6650

Statistics, Data Analysis and Probability K10Five identical balls are numbered 1 to 5 and then placed in a bag. The bag is shaken so the balls are mixed up. Jane draws three of the balls from the bag. Jane wins if the sum of the numbers on the chosen balls is greater than the sum of the balls left in the bag.

What is the probability that Jane wins the game?



ID 6657

Statistics, Data Analysis and Probability K10How many squares are there in such a pyramid with 20 rows?



ID 6683

Statistics, Data Analysis and Probability K10In a state, the car license plate number has three digits from 0 to 9. The smallest number is 000 and the largest 999.

What is the probability that a license number has the sum of digits smaller than 3?



ID 6793

Statistics, Data Analysis and Probability K10A wristwatch has had a chaotic price history, which consists of adding $10, a $10 reduction, doubling in cost, and being at a 50% discount.
If these operations were applied in one order the final price would give a maximum, and in another order would give a minimum.

What is the difference between these two costs?

Author: Leslie Green



ID 6858

Statistics, Data Analysis and Probability K10Students, their parents, and teachers of Green-Planet school planted trees along a pathway. There are 120 trees in total. Every second tree is planted by students, and every third tree is either by teachers or by students.
The remaining trees are planted by parents.

How many trees did the parents plant?



ID 6887

Statistics, Data Analysis and Probability K10The estimation of the number of humans who have ever been born on the Earth is about 109 billion.

The world population was estimated to have reached 7.6 billion as of October 2017.

What is the percentage of the living people to the number of those who have ever been born in 2017?



ID 6925

Statistics, Data Analysis and Probability K10How should you split a 90-dollar check (bill) with tax in a restaurant among 4 friends?

Remember to tip 20%.



ID 6956

Statistics, Data Analysis and Probability K10What is the largest possible remainder that can be obtained when the product of digits of a two-digit number is divided by its sum?



ID 6979

Statistics, Data Analysis and Probability K10In how many ways can you pick all six apples from the tree?



ID 7050

Statistics, Data Analysis and Probability K10Four girls dance in a circle.
Every girl has a handkerchief, that she gives either to the left neighbor or to the right neighbor.
The choice is random.

What is the expected number of girls with at least one handkerchief?



ID 7089

Statistics, Data Analysis and Probability K10You spin a wheel and it randomly lands on $1, $2, $3, or END. If you land on $1, $2, or $3 you get that money and spin the wheel again. You keep receiving money until you land on END.

What is the probability that the game ENDs with you having won exactly $2?



ID 7115

Statistics, Data Analysis and Probability K10A geometric sequence, also known as a geometric progression, is a sequence of numbers where each term after the first is found by multiplying the previous one by a fixed, non-zero number called the common ratio.

What is the tenth term of the geometric sequence below?

3, 6, 12, . . .



ID 7144

Statistics, Data Analysis and Probability K10If one elf can make two elves after an hour of work, how many elves are there after 5 hours?



ID 7179

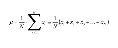
Statistics, Data Analysis and Probability K10"Mathematics all looks like Greek to me", you say. And much of it is, so you are right!

On the left of the equation we have what looks like the letter U with a tail at the start. It is the lower case Greek letter mu. To the right of the equals sign we have a huge symbol that is a bit like a capital E, but different. It is the capital letter sigma, also Greek. What we have here is sigma notation which you should think of as summation.

It is inconvenient to write a + b + c + d + ... for hundreds of values. Instead we might call all the values x and use a subscript to identify the different values. This is very convenient for experimental results as reading 1 has subscript 1, reading 2 has subscript 2, and so on.

Remember that "sub-" means below like submarine, sub-optimum, sub-standard; the index is just below the main symbol.

What is mu as given by this equation?

by Leslie Green



ID 7197

Statistics, Data Analysis and Probability K10Estimate the mean of these numbers without using a calculator and without using pen & paper.



ID 7272

Statistics, Data Analysis and Probability K10A cube has a green face, two yellow faces, and three red faces.

If Gerry throws it three times, what are the chances to get red first, then yellow, and the green at the end?



ID 7276

Statistics, Data Analysis and Probability K10What is the fewest number of people that could have visited a movie show in the open-air cinema, if exactly 99.2% of the people watched the film until the end?



ID 7330

Statistics, Data Analysis and Probability K10I collected 75 cherries. If all of them except 3 are in a small basket, what is the percentage of cherries that are in the basket?



ID 7359

Statistics, Data Analysis and Probability K10Jim said:
"I always give 200% to my job.
80% on Monday, 50% on Tuesday, 40% on Wednesday, 20% on Thursday, and 10% on Friday."

What is the real percent of Jim’s engagement?